学个Antenna是以天线仿真和调试为主,理论原理为辅的干货天线技术专栏,包括天线入门知识以及各类天线的原理简介、仿真软件建模、设计、调试过程及思路。如有想看到的内容或技术问题,可以在文尾写下留言。

摘要:
特征模理论是由Garbacz在1968年在其博士论文中提出来的,并由Harrington在1971年发展为现在普适的经典形式。它是应用较为广泛的矩量法结合解析本征模理论求解电磁问题的一类新方法,它为天线设计者提供了一种最佳的天线设计手段。
本文使用的软件为CST 2018
特征模理论的背景
但是调节天线结构和馈电位置在很大程度上依赖于设计者积累的经验和知识,初学者戏谑自己入行了一门“玄学”。初入行的天线工程师往往通过电磁仿真软件仿真天线性能,大部分时间折腾在盲目的调参过程中不能自已。于是工程师们寻求许多如遗传算法等现代进化优化算法,来减轻天线调试优化中的繁重工作量。在这种情况下,天线设计通常会被视为缺乏科学理论和逻辑。因此,过度依赖这种蛮力技术在天线设计中并不是一个好方法。
下面引出特征模的定义:
· The basic assumption is made that the scattering or radiation pattern of any object is a linear combination of modal patterns, characterized by its shape, and excited to various degrees at the terminals (the object acts as a radiator) or by an incident field (the object acts as a scatterer).
· 基本假设是任何物体的散射或辐射模式是模态模式的线性组合,以其形状为特征,并在终端(物体充当辐射体)或被入射场(物体作为散射体)不同程度地激发。
· The current distribution over the object is assumed to be decomposed into an infinite number of modal currents, each of which radiates a characteristic modal pattern independent of all others.
· 假设目标物体上的电流分布被分解为无限数量的模态电流,每个模态电流辐射出独立于所有其他模态的特征模态模式
不考虑馈电结构的情况下,可以借鉴波导里的TE10,TE11等正交模式,给出任意形状金属结构的所有完备、正交的辐射模式,这些辐射模式我们就称之为“特征模式”。
特征模理论公式
下面撷取电子科技大学的陈益凯教授著作——"Characteristic Modes:Theory and Applications in Antenna Engineering"的相关理论内容进行简单阐述:
特征模理论的几个重要定义如下:
模式权重系数
:表示外部源E的激励下,第N个模式的电流
对于总电流的贡献,它与导体本身和外部源有关;
模式激励系数
:表示某个激励源与第N个模式电流的耦合程度,耦合程度越高表明在外加源下,电流贡献占比越大;
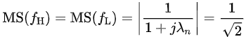
模式特性MS:只与导体本身有关,与源无关;
特征角
:代表模式电流和模式电场在天线表面正切分量之间的相位差。

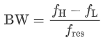
在很多情况下研究模式特性是很方便的,其取值范围为0~1,越接近于1则代表其重要程度越大,更容易被激励。除此之外,研究模式特性也提供了一种方便的方法来预估每个特征模式的工作带宽(BW)。
模式处于谐振状态时有
,偏离谐振频率的高低频分别为
和
,若满足(点下面公式左右滑动可看全部):

则可得出该模式的工作带宽(BW)为:

贴片天线的特征模仿真
本次仿真在CST 2018版本,M-Solver(Multilayer Solver)下进行,仿真频段为5~6.5GHz。

需要注意的是,特征模求解时,材料需要设置为无损!不然就会出现下面的报错:
Lossy materials are not supported for the characteristic mode analysis.
这里我们将基板(介电常数2.2,厚度1mm)和贴片的尺寸设置为同等大小(20.45mm×16.9mm),不用设置地板。
边界条件的设置如下:

将贴片下方设置为electric(Et=0),其他面设置为open(add space)即可,仿真的MS结果如下:

在5-6.5GHz内,该贴片仅有一个模式能被显著激励起来,而且带宽比较窄,这与微带贴片天线的窄带宽特性比较贴合。接下来查看三种模式的电流分布和远场方向图特性:
模式的电流分布



从左到右依次为仿真的模式1、2、3的电流分布图
模式的远场方向图



从左到右依次为仿真的模式1、2、3的远场方向图
对于贴片天线,其带宽理论上是可以通过增加基板厚度来实现,于是在CST中增加基板厚度至1.5mm,谐振频率往低偏移,而且带宽拓宽了。

相比于在电磁软件中一口气将天线和馈电结构全部参量化建模,然后再暴力扫参调试,特征模理论在一定程度上给我们指明了一条理论指导实践的路。先仿真给定导体和介质下的宽频带内的MS结果,根据需要选取合适的模式进行激励,这样比暴力优化相比就显得科学化了。
举一个最简单的例子,贴片天线开槽和变形进行频带的拓宽,如果只是建模完后把调试任务交给Optimizer,整个求解任务费时费力。如果先进行特征模式的仿真,组合几个邻近特征模式,通过选取合适的馈电位置和馈电方式来激励多模,即可实现宽带特性。
优化好导体形状后再找合适的位置进行馈电、激励,一定程度上也对调试工作进行了规范化。
下载特征模学习资料
PDF文件和仿真文件在下面的总文件夹进行更新:
识别或扫码二维码

下载文件
*本文的图片部分来自CST2018软件,致谢Markdown Nice提供的公式排版服务
*欢迎左侧一键转发至朋友圈,同时右侧在看与点赞
以上便是要给大家分享的内容,希望对大家有所帮助~~大家持续关注“微波射频网”,后续精彩不断~
本期原创工程师:94巨蟹座少年
本文为MWRF.NET原创文章,未经允许不得转载,如需转载请联系market#mwrf.net(#换成@)