2022-02-05 18:44发布
在用信号源和频谱分析仪测试输入1dB压缩点功率时,随着信号源输入功率的增加,输出功率减去输入功率出现先增加后减小的现象,这该如何选取1dB压缩点?
参考上图,当实际的输出功率比输入功率低 1dB 时,对应的曲线图上的点就称为 1dB压缩点,对应的输入功率称为 输入1dB压缩点,对应的输出功率称为 输出1dB压缩点。在设计小信号放大器的时候,我们会认为放大器的增益恒定,放大器的输出随输入线性变化。但当输入功率增加到一定程度时,由于系统存在 非线性,放大器的输出不再随着输入线性变化。事实上,输出功率增加的速度会逐渐慢于线性增加的速度,输入-输出曲线会出现上图所示的弯折。
下面从数学的角度推导一下1dB压缩点的产生。
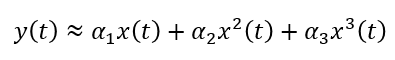
定义非线性系统的函数为:
之所以用约等于,是因为实际还存在更高阶的非线性项,但一般来说,与低阶的非线性项比起来,系数小到可以忽略不计。
假设有一个单频信号 Acos(wt) 通过这个非线性系统,代入函数并整理:
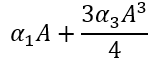
我们主要关注的是第二项的系数,即与输入相同频率的输出项的系数:
若
就会出现增益压缩现象,输入1dB压缩点 可以由下式计算:
但在实际设计时,一般直接利用仿真软件建好的非线性模型仿真 1dB压缩点。
为什么要人为设定的测这个?这个和功放状态强相关,也和测试方法强相关。真正用心去感受射频,找你想要的就是了。
最多设置5个标签!
付费偷看金额在0.1-10元之间
参考上图,当实际的输出功率比输入功率低 1dB 时,对应的曲线图上的点就称为 1dB压缩点,对应的输入功率称为 输入1dB压缩点,对应的输出功率称为 输出1dB压缩点。在设计小信号放大器的时候,我们会认为放大器的增益恒定,放大器的输出随输入线性变化。但当输入功率增加到一定程度时,由于系统存在 非线性,放大器的输出不再随着输入线性变化。事实上,输出功率增加的速度会逐渐慢于线性增加的速度,输入-输出曲线会出现上图所示的弯折。
下面从数学的角度推导一下1dB压缩点的产生。
定义非线性系统的函数为:
之所以用约等于,是因为实际还存在更高阶的非线性项,但一般来说,与低阶的非线性项比起来,系数小到可以忽略不计。
假设有一个单频信号 Acos(wt) 通过这个非线性系统,代入函数并整理:
我们主要关注的是第二项的系数,即与输入相同频率的输出项的系数:
若
就会出现增益压缩现象,输入1dB压缩点 可以由下式计算:
但在实际设计时,一般直接利用仿真软件建好的非线性模型仿真 1dB压缩点。
为什么要人为设定的测这个?这个和功放状态强相关,也和测试方法强相关。真正用心去感受射频,找你想要的就是了。
一周热门 更多>