1.前言
本系列自开篇以来陆续推出了基于python的线阵天线自动化设计,展现了python在阵列天线设计领域巨大的潜力,是人工智能与天线设计的一次亲密接触。我们为广大读者展现了使用python设计不同线阵的应用,通过自动化设计,大大提升了天线的设计效率,提高了工作效率。

图1阵列天线自动设计
2.均匀线阵
常见的线阵综合法主要有均匀幅度法、切比雪夫综合法和泰勒综合法,其中,切比雪夫和泰勒综合法是实现低副瓣阵列天线的两种方法,具有副瓣电平可控的特性。作为本系列线阵的结束篇,回顾一下切比雪夫综合法和泰勒综合法。
2.1 切比雪夫综合法
P阶切比雪夫多项式如下:

当p为偶数时 ,Tp见下式:

当p为奇数时 ,Tp见下式:

其中的
=
当天线的波瓣特性和切比雪夫多项式曲线一致时,该天线辐射特性具有切比雪夫特性,此时旁瓣的幅度都均相等。
由上式可知,当阵列单元为偶数阶时,其阵因子如下:

当阵列单元为奇数阶时,其阵因子如下:

式中,
。
依据单元数为奇偶分以下情况得到对应的电流幅度。
a) 对于单元数为奇数的阵列
对于单元数为奇数的阵列而言,中心单元的激励幅度为:

其一侧的相对单元激励幅度为:

b) 对于单元数为偶数的阵列
其一侧的相对单元激励幅度为:

2.2 泰勒综合法
泰勒综合法的线阵辐射特性具有如下特点:
主瓣两侧的若干副瓣电平大小相似;
其余区域副瓣电平会单调减小。
由以上特点可知,阵列天线的激励从中间往两侧会单调递减,不会发生切比雪夫综合法中的跳变现象,方向图函数为:

上式为构造的泰勒空间因子,具有理想空间因子可调副瓣电平和前n-1个副瓣电平接近相等的性质,同时在远区副瓣保持了基本函数的副瓣峰值,也具备μ-1的衰减特性。其零点位置为:

式中,

1)若
时,副瓣可称为近旁瓣,近似相等;反之副瓣称为远旁瓣,逐渐衰减,。上式的u取整数时,即为方向图零点位置。
2)若
时,零点重合,有下式:

当
时,得到的阵列方向图函数即为:

令天线阵列馈电幅度分布为I(ξ),其具有的泰勒分布如下图所示。
a) 泰勒连续分布
泰勒连续分布示意图如图 1所示。

图 2 泰勒分布示意图
对应的连续电流分布为:

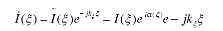
其中,kξ表示均匀相位常数,α(ξ)是非均匀相位常数,由上图可知,电流分布具有对称性,则该分布对应的阵列单元辐射阵因子为:

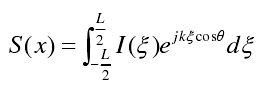
X=i=0时,泰勒方向图函数 S(x)=1;
X=i小于n时,S(x)为:

X=i大于n时,S(x)=0。
口径场分布函数I(ξ)为:

b)离散化
对于线阵而言,需要对上图进行离散化,每个抽样值对应着直线阵列上的单元激励,利用抽样定理,可以增加抽样点使阵列单元的对应的幅度分布来贴合泰勒分布的连续线源幅度。
离散化后,每个阵元的坐标位置为:

各单元对应的激励电流幅度为:

式中,p=2Πzn/L,L=Nd

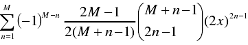
这里的,S(m)为:
m=0时,泰勒方向图函数 S(m)=1;
时,S(m)为:

时,S(m)=0。
该式说明,对泰勒线源进行抽样时,抽样结果只与抽样点数相关,可以看出激励幅度与单元数量有关,而和单元间距无关。
下面展示了基于泰勒综合法的20元阵列和40元阵列得到的方向图,可看到阵元数越多,天线主瓣波束越窄。
单元数为20,阵元间距d为λ,指向0度


图 3 20阵元天线
单元数为40,阵元间距为d为λ,指向0度


图 4 40阵元天线
无人机阵列干扰天线设计
根据当前项目需求,设计一款2.4GHz的无人机平面阵列干扰天线,阵元如下图所示,该天线阵元可展宽天线工作带宽,同时有利于馈电设计。

图 5 阵元结构图
结合上一节分析性的结果,这里该阵列干扰天线采用泰勒综合法抑制副瓣电平,实现了12dBi的天线增益,该平面天线不增加重量及体积,同时高增益有助于增强对无人机远程干扰能力,下图分别给出阵列天线的方向图与增益。


图 6 干扰天线方向图
工程实施时,该天线安装在云台上,通过陀机控制云台方位与俯仰,对目标无人机实施干扰。